ОТВЕТ на задание № 699 Учебник по Алгебре 7 класс Мерзляк Алгоритм успеха Базовый уровень
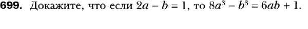
Условия
упражнение / 699

Решебник №1
упражнение / 699


Решебник №2
упражнение / 699

Решебник №4
упражнение / 699

Решебник №5
упражнение / 699

Все ГДЗ по Алгебре 7 класс Алгоритм успеха