ОТВЕТ на задание № 700 Учебник по Алгебре 7 класс Мерзляк Алгоритм успеха Базовый уровень
Условия
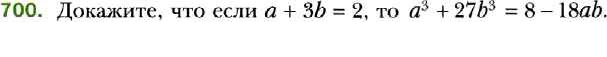
упражнение / 700

Решебник №1
упражнение / 700

Решебник №2
упражнение / 700

Решебник №4
упражнение / 700

Решебник №5
упражнение / 700

Все ГДЗ по Алгебре 7 класс Алгоритм успеха