ОТВЕТ на задание № 735 Учебник по Алгебре 7 класс Мерзляк Алгоритм успеха Базовый уровень
Условия
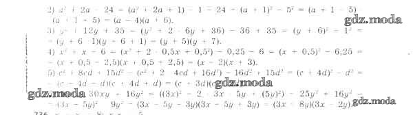
упражнение / 735

Решебник №1
упражнение / 735

Решебник №2
упражнение / 735

Решебник №4
упражнение / 735


Решебник №5
упражнение / 735

Все ГДЗ по Алгебре 7 класс Алгоритм успеха