ОТВЕТ на задание № 736 Учебник по Алгебре 7 класс Мерзляк Алгоритм успеха Базовый уровень
Условия
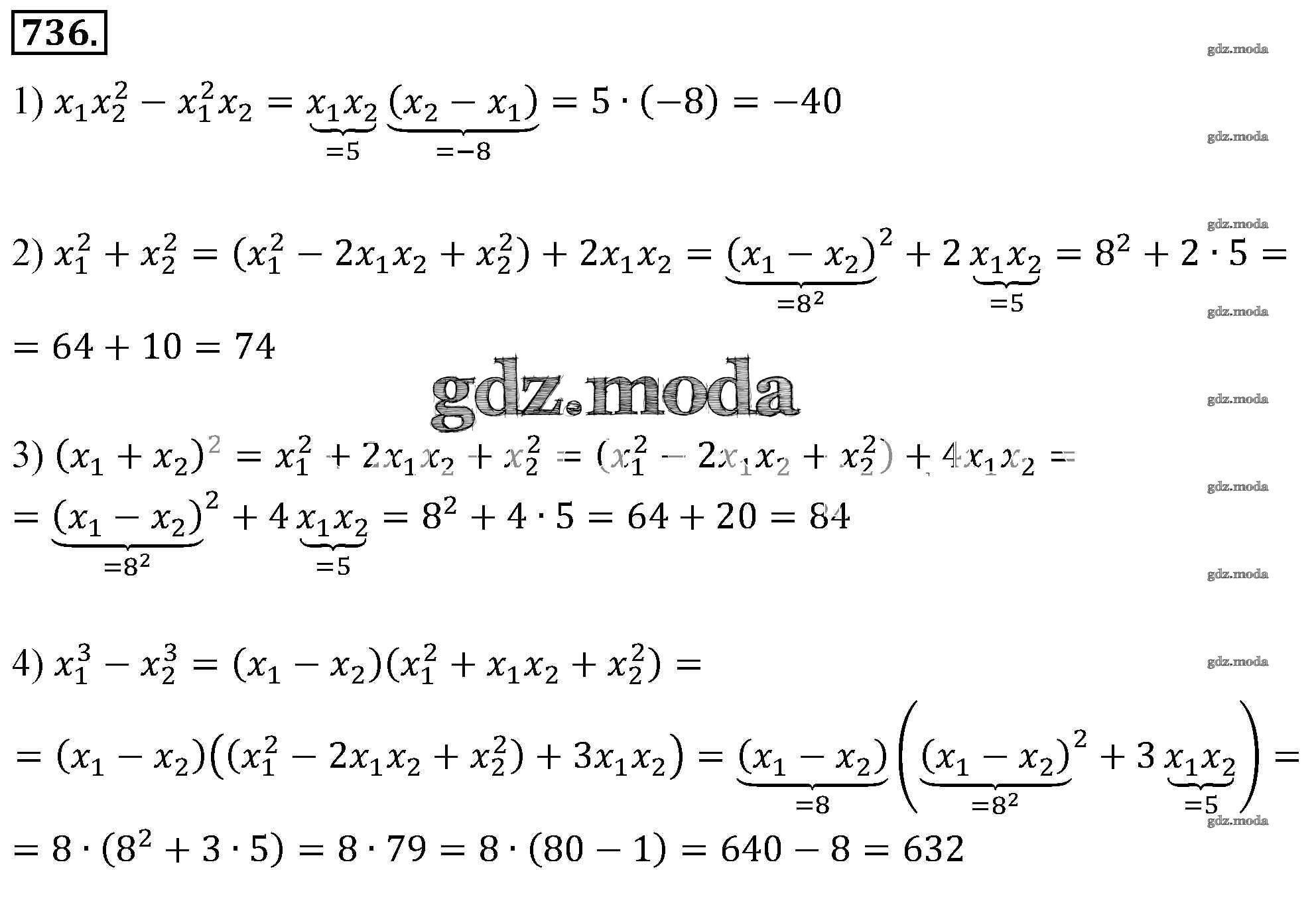
упражнение / 736

Решебник №1
упражнение / 736


Решебник №2
упражнение / 736

Решебник №4
упражнение / 736

Решебник №5
упражнение / 736

Все ГДЗ по Алгебре 7 класс Алгоритм успеха