ОТВЕТ на задание № 8 Учебник по Алгебре 7 класс Мерзляк Алгоритм успеха Базовый уровень
Условия
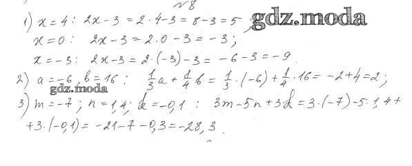
упражнение / 8

Решебник №1
упражнение / 8


Решебник №2
упражнение / 8

Решебник №3
упражнение / 8

Решебник №4
упражнение / 8

Решебник №5
упражнение / 8

Все ГДЗ по Алгебре 7 класс Алгоритм успеха