ОТВЕТ на задание № 9 Учебник по Алгебре 7 класс Мерзляк Алгоритм успеха Базовый уровень
Условия
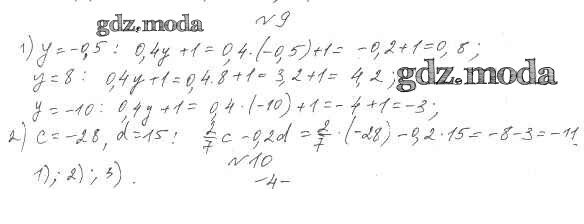
упражнение / 9

Решебник №1
упражнение / 9

Решебник №2
упражнение / 9

Решебник №3
упражнение / 9

Решебник №4
упражнение / 9

Решебник №5
упражнение / 9

Все ГДЗ по Алгебре 7 класс Алгоритм успеха