ОТВЕТ на задание № 911 Учебник по Алгебре 7 класс Мерзляк Алгоритм успеха Базовый уровень
Условия
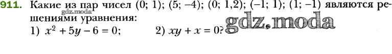
упражнение / 911

Решебник №1
упражнение / 911


Решебник №2
упражнение / 911

Решебник №3
упражнение / 911

Решебник №4
упражнение / 911

Решебник №5
упражнение / 911

Все ГДЗ по Алгебре 7 класс Алгоритм успеха