ОТВЕТ на задание № 912 Учебник по Алгебре 7 класс Мерзляк Алгоритм успеха Базовый уровень
Условия
упражнение / 912

Решебник №1
упражнение / 912

Решебник №2
упражнение / 912

Решебник №3
упражнение / 912

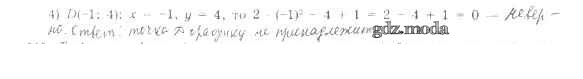
Решебник №4
упражнение / 912


Решебник №5
упражнение / 912

Все ГДЗ по Алгебре 7 класс Алгоритм успеха