ОТВЕТ на задание № 930 Учебник по Алгебре 7 класс Мерзляк Алгоритм успеха Базовый уровень
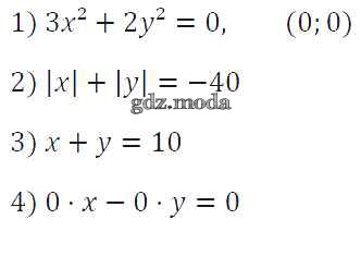
Условия
упражнение / 930

Решебник №1
упражнение / 930

Решебник №2
упражнение / 930

Решебник №3
упражнение / 930

Решебник №4
упражнение / 930

Решебник №5
упражнение / 930

Все ГДЗ по Алгебре 7 класс Алгоритм успеха