ОТВЕТ на задание № 932 Учебник по Алгебре 7 класс Мерзляк Алгоритм успеха Базовый уровень
Условия
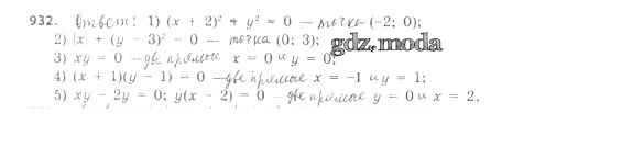
упражнение / 932

Решебник №1
упражнение / 932


Решебник №2
упражнение / 932

Решебник №3
упражнение / 932

Решебник №4
упражнение / 932

Решебник №5
упражнение / 932

Все ГДЗ по Алгебре 7 класс Алгоритм успеха