ОТВЕТ на задание № 33 Задачник по Алгебре 7 класс Мордкович Базовый уровень

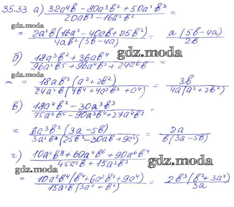
Условия

глава 7 / § 35 / 33

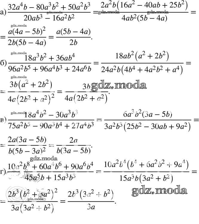
Решебник №1

глава 7 / § 35 / 33

Решебник №2

глава 7 / § 35 / 33

Решебник №3

глава 7 / § 35 / 33

Решебник №4

глава 7 / § 35 / 33

ГДЗ решение к заданию № 33 Алгебра 7 класс задачник (базовый уровень) Мордкович А.Г. Часть 2 Мнемозина 2013 Часть 2 Базовый уровень ФГОС бесплатно на гдз.мода!