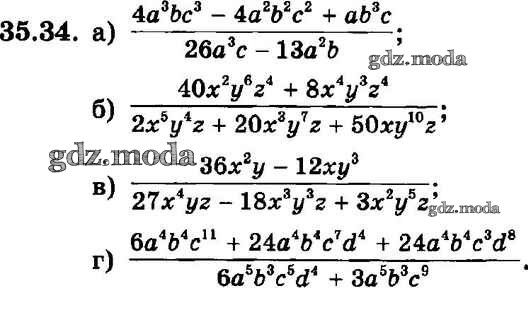
ОТВЕТ на задание № 34 Задачник по Алгебре 7 класс Мордкович Базовый уровень

Условия

глава 7 / § 35 / 34

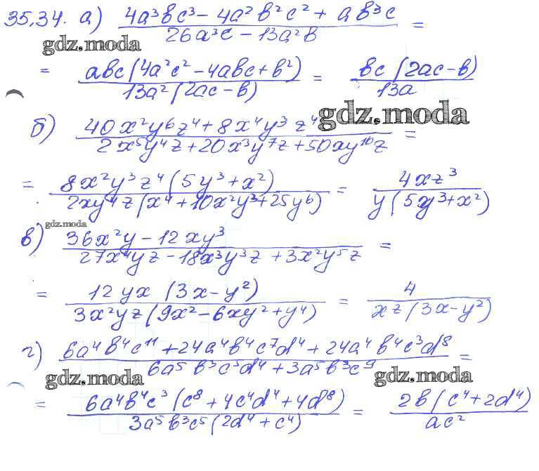
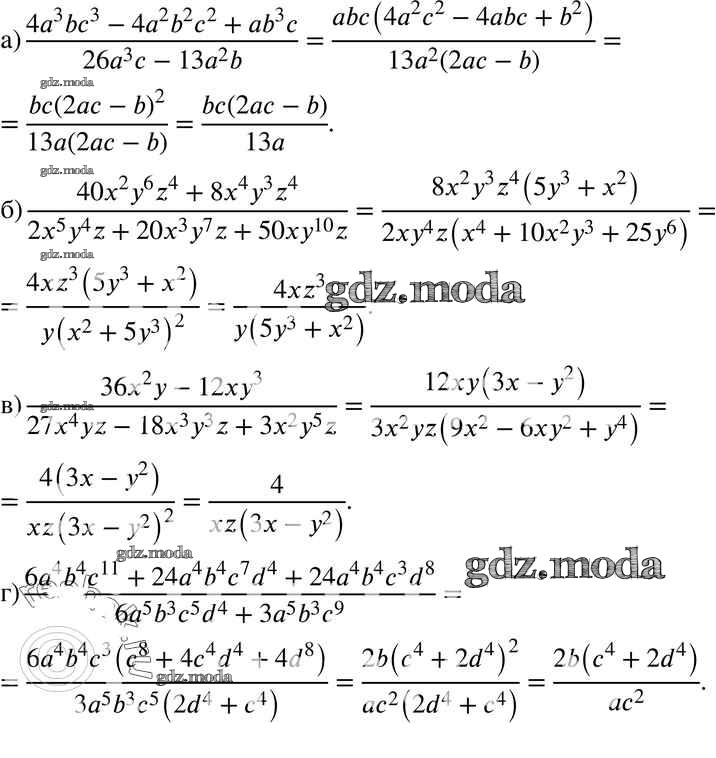
Решебник №1

глава 7 / § 35 / 34

Решебник №2

глава 7 / § 35 / 34

Решебник №3

глава 7 / § 35 / 34

Решебник №4

глава 7 / § 35 / 34

ГДЗ решение к заданию № 34 Алгебра 7 класс задачник (базовый уровень) Мордкович А.Г. Часть 2 Мнемозина 2013 Часть 2 Базовый уровень ФГОС бесплатно на гдз.мода!