Классы
1 класс
2 класс
3 класс
4 класс
5 класс
6 класс
7 класс
8 класс
9 класс
10 класс
11 класс
Предметы
Алгебра
Английский язык
Белорусский язык
Биология
География
Геометрия
Естествознание
Информатика
Искусство
История
Кубановедение
Литература
Математика
Музыка
Немецкий язык
ОБЖ
Обществознание
Окружающий мир
Основы здоровья
Природоведение
Русский язык
Технология
Украинский язык
Физика
Французский язык
Химия
Человек и мир
Я исследую мир
ГДЗ
8 класс
Алгебра
Карачинский самостоятельные и контрольные работы
1
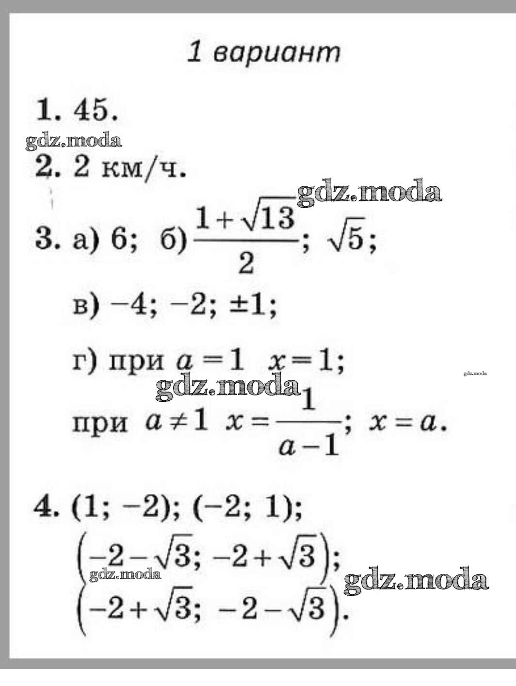
ОТВЕТ на задание № 1 Самостоятельные и контрольные работы по Алгебре 8 класс Карачинский
Показать содержание
← Предыдущее
Следующее →
Решебник
контрольная работа 3. квадратные уравнения (вариант) / 1
Показать содержание
← Предыдущее
Следующее →
ГДЗ решение к заданию № 1 Алгебра 8 класс самостоятельные и контрольные работы Карачинский СМИО Пресс 2016 бесплатно на гдз.мода!