ОТВЕТ на задание № 10 Учебник по Алгебре 8 класс Макарычев
Учебник
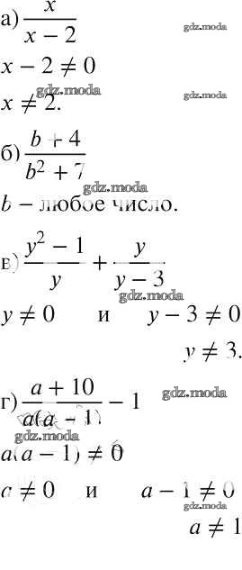
упражнение / 10

Решебник №1
упражнение / 10

Решебник №2
упражнение / 10

Решебник №3
упражнение / 10

Решебник №4
упражнение / 10


Решебник №5
упражнение / 10

Решебник №6
упражнение / 10

Решебник №7
упражнение / 10
