ОТВЕТ на задание № 9 Учебник по Алгебре 8 класс Макарычев
Учебник
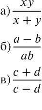
упражнение / 9

Решебник №1
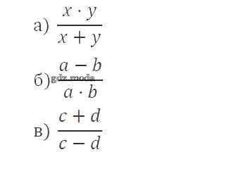
упражнение / 9

Решебник №2
упражнение / 9

Решебник №3
упражнение / 9

Решебник №4
упражнение / 9

Решебник №5
упражнение / 9

Решебник №6
упражнение / 9

Решебник №7
упражнение / 9
