ОТВЕТ на задание № 1057 Учебник по Алгебре 8 класс Макарычев
Учебник
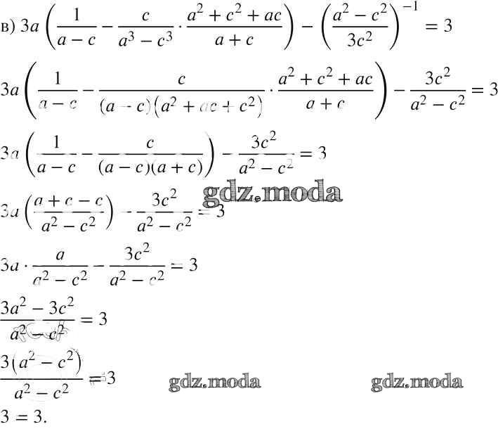
упражнение / 1057

Решебник №1
упражнение / 1057

Решебник №2
упражнение / 1057


Решебник №3
упражнение / 1057

Решебник №4
упражнение / 1057


Решебник №5
упражнение / 1057

Решебник №7
упражнение / 1057
