ОТВЕТ на задание № 1058 Учебник по Алгебре 8 класс Макарычев
Учебник
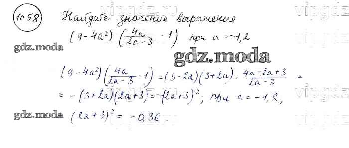
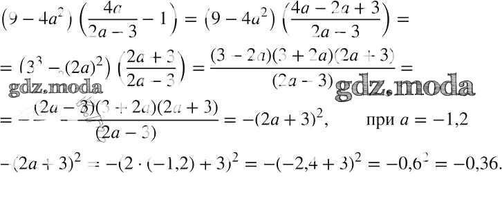
упражнение / 1058

Решебник №1
упражнение / 1058

Решебник №2
упражнение / 1058

Решебник №3
упражнение / 1058

Решебник №4
упражнение / 1058

Решебник №5
упражнение / 1058

Решебник №7
упражнение / 1058
