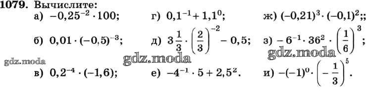
ОТВЕТ на задание № 1079 Учебник по Алгебре 8 класс Макарычев
Учебник
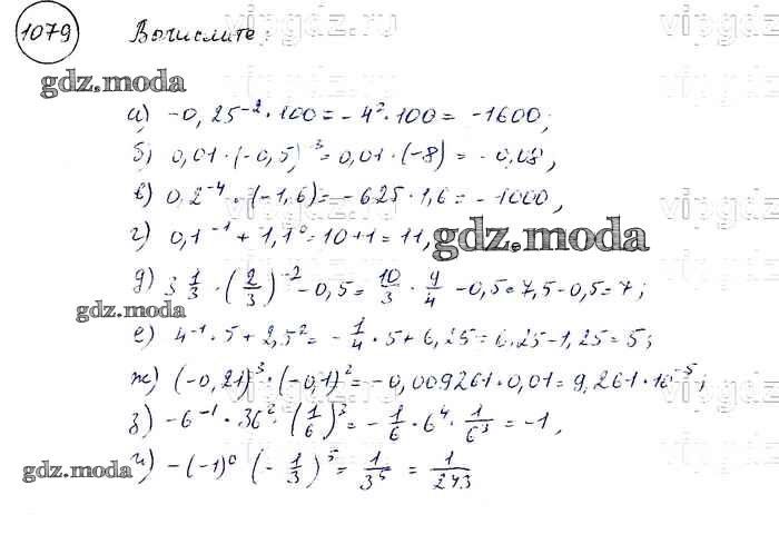
упражнение / 1079

Решебник №1
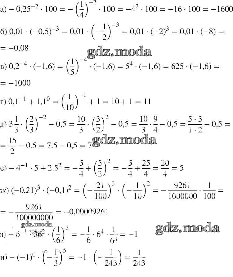
упражнение / 1079

Решебник №2
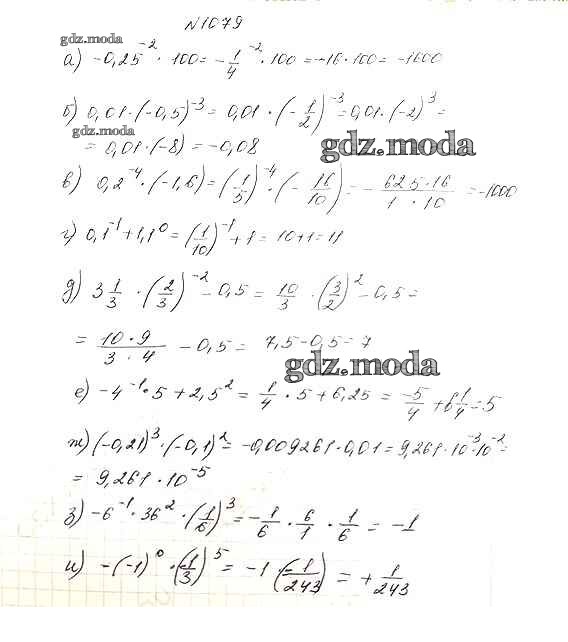
упражнение / 1079


Решебник №3
упражнение / 1079

Решебник №4
упражнение / 1079

Решебник №5
упражнение / 1079

Решебник №7
упражнение / 1079
