ОТВЕТ на задание № 1080 Учебник по Алгебре 8 класс Макарычев
Учебник
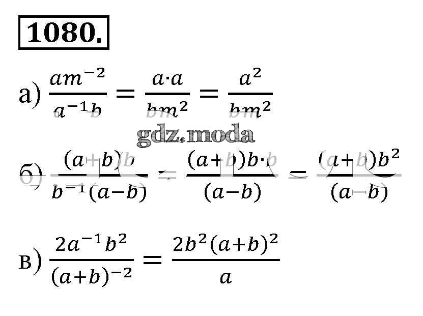
упражнение / 1080

Решебник №1
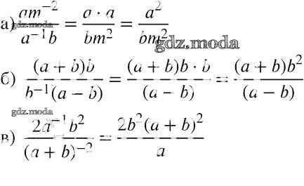
упражнение / 1080

Решебник №2
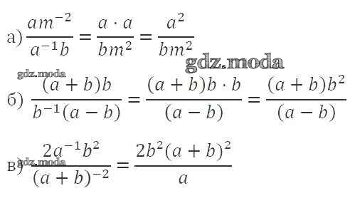
упражнение / 1080

Решебник №3
упражнение / 1080

Решебник №4
упражнение / 1080


Решебник №5
упражнение / 1080

Решебник №7
упражнение / 1080
