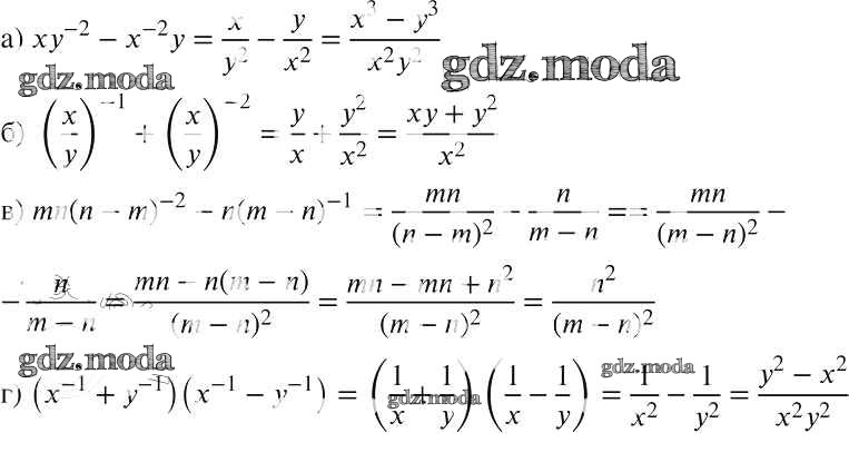
ОТВЕТ на задание № 1081 Учебник по Алгебре 8 класс Макарычев
Учебник
упражнение / 1081

Решебник №1
упражнение / 1081

Решебник №2
упражнение / 1081

Решебник №3
упражнение / 1081

Решебник №4
упражнение / 1081

Решебник №5
упражнение / 1081

Решебник №7
упражнение / 1081
