ОТВЕТ на задание № 1082 Учебник по Алгебре 8 класс Макарычев
Учебник
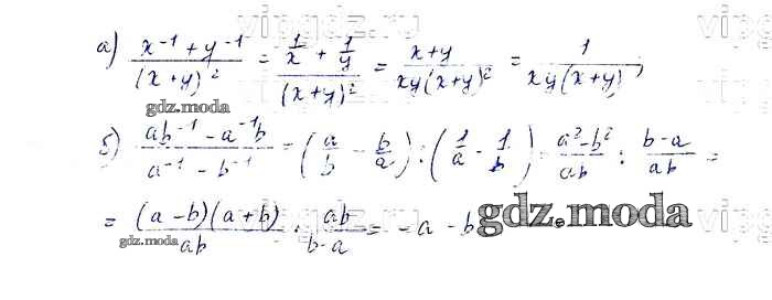
упражнение / 1082

Решебник №1
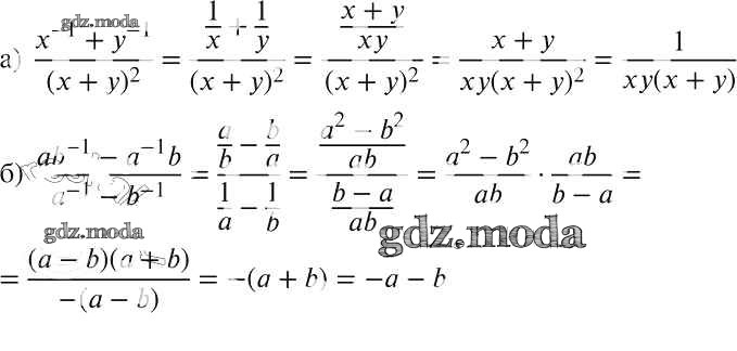
упражнение / 1082

Решебник №2
упражнение / 1082

Решебник №3
упражнение / 1082


Решебник №4
упражнение / 1082


Решебник №5
упражнение / 1082

Решебник №7
упражнение / 1082
