ОТВЕТ на задание № 109 Учебник по Алгебре 8 класс Макарычев
Учебник
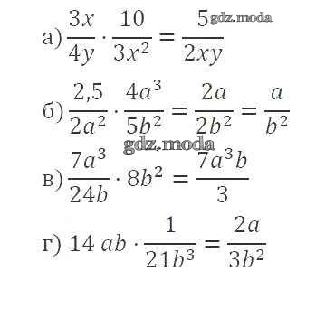
упражнение / 109
                                Решебник №1
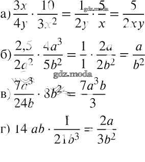
упражнение / 109
                                Решебник №2
упражнение / 109
                                Решебник №3
упражнение / 109
                                Решебник №4
упражнение / 109
                                
                                Решебник №5
упражнение / 109
                                Решебник №6
упражнение / 109
                                Решебник №7
упражнение / 109