ОТВЕТ на задание № 110 Учебник по Алгебре 8 класс Макарычев
Учебник
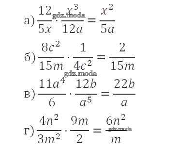
упражнение / 110

Решебник №1
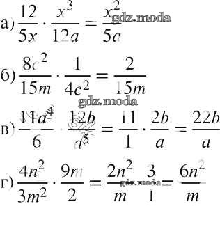
упражнение / 110

Решебник №2
упражнение / 110

Решебник №3
упражнение / 110

Решебник №4
упражнение / 110

Решебник №5
упражнение / 110

Решебник №6
упражнение / 110

Решебник №7
упражнение / 110
