ОТВЕТ на задание № 111 Учебник по Алгебре 8 класс Макарычев
Учебник
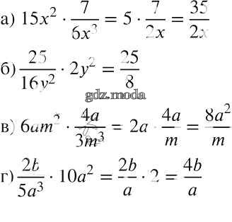
упражнение / 111

Решебник №1
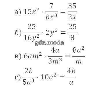
упражнение / 111

Решебник №2
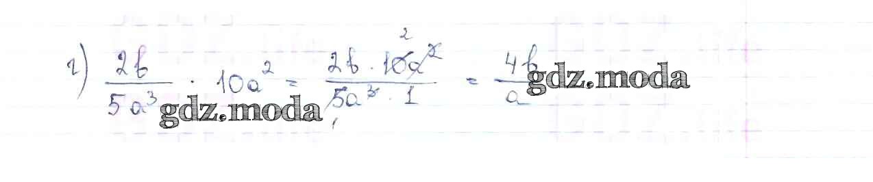
упражнение / 111

Решебник №3
упражнение / 111

Решебник №4
упражнение / 111


Решебник №5
упражнение / 111

Решебник №6
упражнение / 111

Решебник №7
упражнение / 111
