ОТВЕТ на задание № 1090 Учебник по Алгебре 8 класс Макарычев
Учебник
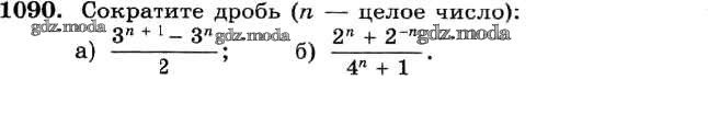
упражнение / 1090

Решебник №1
упражнение / 1090

Решебник №2
упражнение / 1090

Решебник №3
упражнение / 1090

Решебник №4
упражнение / 1090

Решебник №5
упражнение / 1090

Решебник №7
упражнение / 1090
