ОТВЕТ на задание № 1091 Учебник по Алгебре 8 класс Макарычев
Учебник
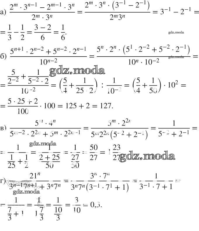
упражнение / 1091

Решебник №1
упражнение / 1091

Решебник №2
упражнение / 1091

Решебник №3
упражнение / 1091


Решебник №4
упражнение / 1091


Решебник №5
упражнение / 1091

Решебник №7
упражнение / 1091
