ОТВЕТ на задание № 121 Учебник по Алгебре 8 класс Макарычев
Учебник
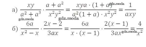
упражнение / 121

Решебник №1
упражнение / 121

Решебник №2
упражнение / 121

Решебник №3
упражнение / 121

Решебник №4
упражнение / 121

Решебник №6
упражнение / 121

Решебник №7
упражнение / 121
