ОТВЕТ на задание № 122 Учебник по Алгебре 8 класс Макарычев
Учебник
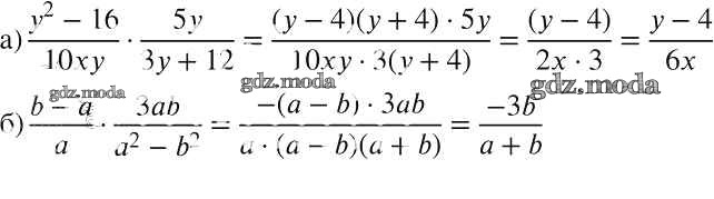
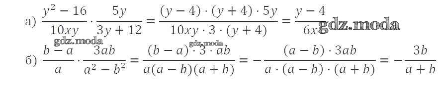
упражнение / 122

Решебник №1
упражнение / 122

Решебник №2
упражнение / 122

Решебник №3
упражнение / 122

Решебник №4
упражнение / 122


Решебник №6
упражнение / 122

Решебник №7
упражнение / 122
