ОТВЕТ на задание № 123 Учебник по Алгебре 8 класс Макарычев
Учебник
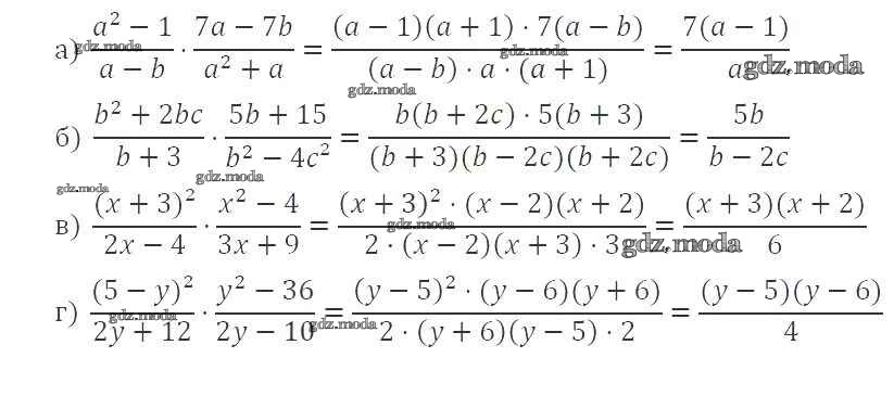
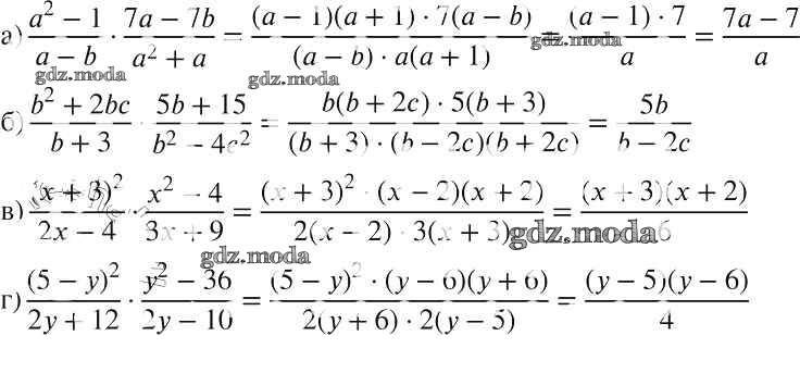
упражнение / 123

Решебник №1
упражнение / 123

Решебник №2
упражнение / 123

Решебник №3
упражнение / 123

Решебник №4
упражнение / 123

Решебник №6
упражнение / 123

Решебник №7
упражнение / 123
