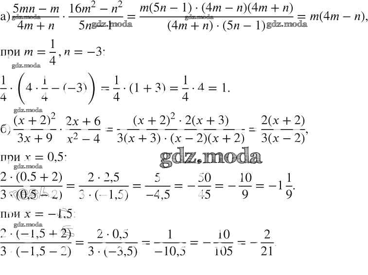
ОТВЕТ на задание № 124 Учебник по Алгебре 8 класс Макарычев
Учебник
упражнение / 124

Решебник №1
упражнение / 124

Решебник №2
упражнение / 124

Решебник №3
упражнение / 124

Решебник №4
упражнение / 124


Решебник №5
упражнение / 124

Решебник №6
упражнение / 124

Решебник №7
упражнение / 124
