ОТВЕТ на задание № 133 Учебник по Алгебре 8 класс Макарычев
Учебник
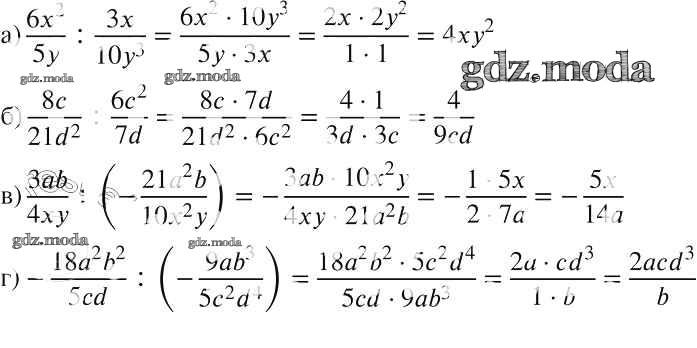
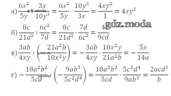
упражнение / 133

Решебник №1
упражнение / 133

Решебник №2
упражнение / 133

Решебник №3
упражнение / 133

Решебник №4
упражнение / 133


Решебник №5
упражнение / 133

Решебник №6
упражнение / 133

Решебник №7
упражнение / 133
