ОТВЕТ на задание № 134 Учебник по Алгебре 8 класс Макарычев
Учебник
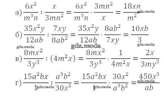
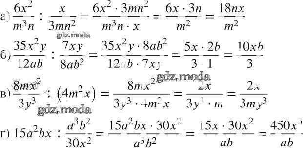
упражнение / 134

Решебник №1
упражнение / 134

Решебник №2
упражнение / 134

Решебник №3
упражнение / 134

Решебник №4
упражнение / 134


Решебник №5
упражнение / 134

Решебник №6
упражнение / 134

Решебник №7
упражнение / 134
