ОТВЕТ на задание № 135 Учебник по Алгебре 8 класс Макарычев
Учебник
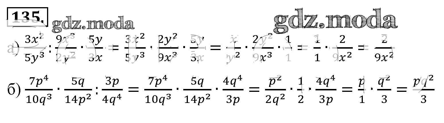
упражнение / 135

Решебник №1
упражнение / 135

Решебник №2
упражнение / 135

Решебник №3
упражнение / 135

Решебник №4
упражнение / 135

Решебник №5
упражнение / 135

Решебник №6
упражнение / 135

Решебник №7
упражнение / 135
