ОТВЕТ на задание № 136 Учебник по Алгебре 8 класс Макарычев
Учебник
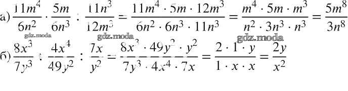
упражнение / 136

Решебник №1
упражнение / 136

Решебник №2
упражнение / 136

Решебник №4
упражнение / 136


Решебник №5
упражнение / 136

Решебник №6
упражнение / 136

Решебник №7
упражнение / 136
