ОТВЕТ на задание № 137 Учебник по Алгебре 8 класс Макарычев
Учебник
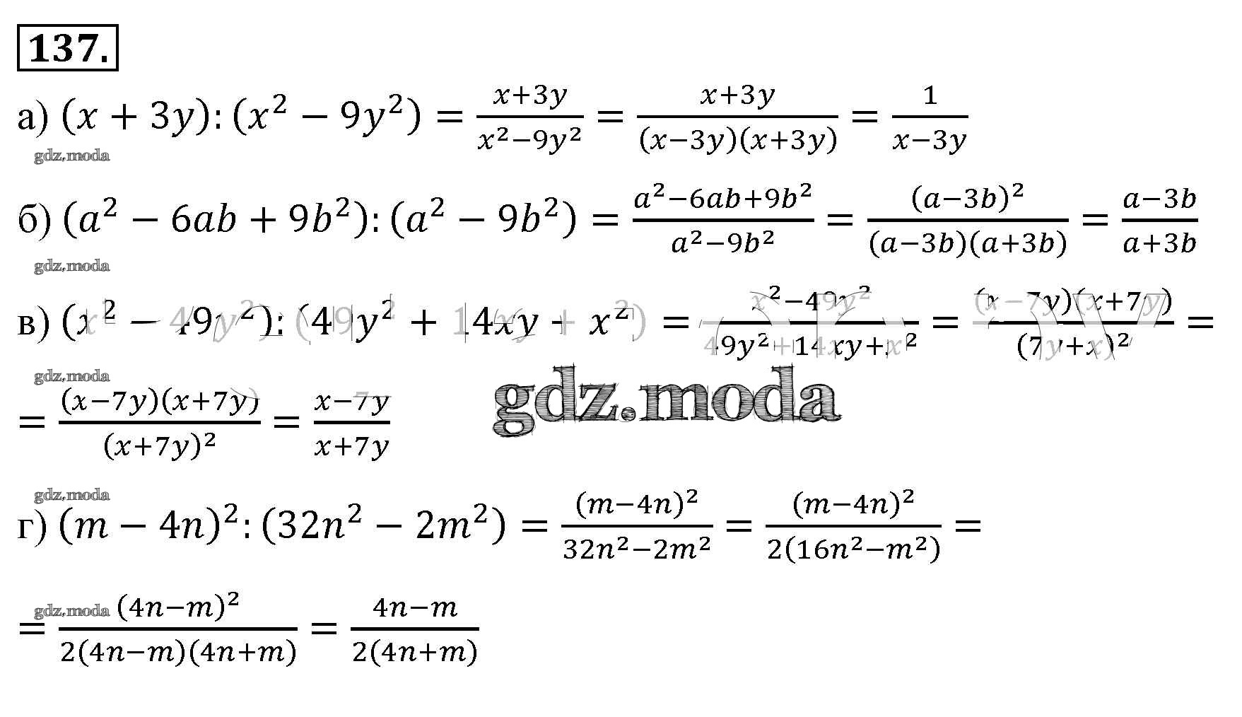
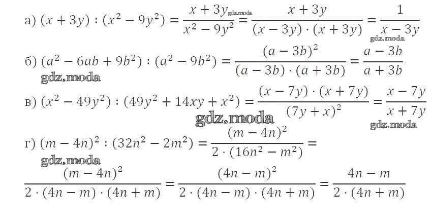
упражнение / 137

Решебник №1
упражнение / 137

Решебник №2
упражнение / 137

Решебник №4
упражнение / 137


Решебник №5
упражнение / 137

Решебник №6
упражнение / 137

Решебник №7
упражнение / 137
