ОТВЕТ на задание № 138 Учебник по Алгебре 8 класс Макарычев
Учебник
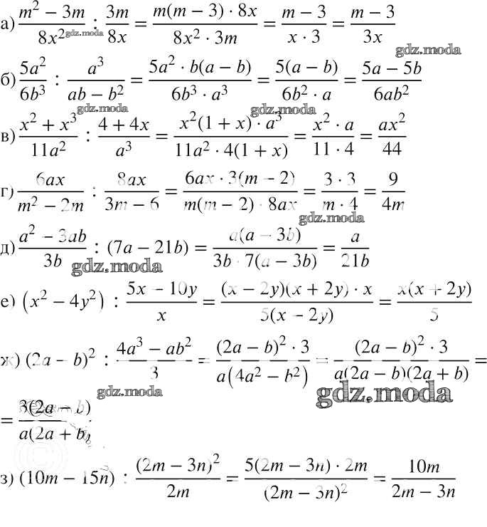
упражнение / 138

Решебник №1
упражнение / 138

Решебник №2
упражнение / 138

Решебник №3
упражнение / 138

Решебник №4
упражнение / 138


Решебник №5
упражнение / 138

Решебник №6
упражнение / 138

Решебник №7
упражнение / 138
