ОТВЕТ на задание № 142 Учебник по Алгебре 8 класс Макарычев
Учебник
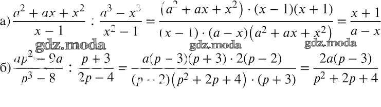
упражнение / 142

Решебник №1
упражнение / 142

Решебник №2
упражнение / 142

Решебник №3
упражнение / 142

Решебник №4
упражнение / 142


Решебник №5
упражнение / 142

Решебник №6
упражнение / 142

Решебник №7
упражнение / 142
