ОТВЕТ на задание № 143 Учебник по Алгебре 8 класс Макарычев
Учебник
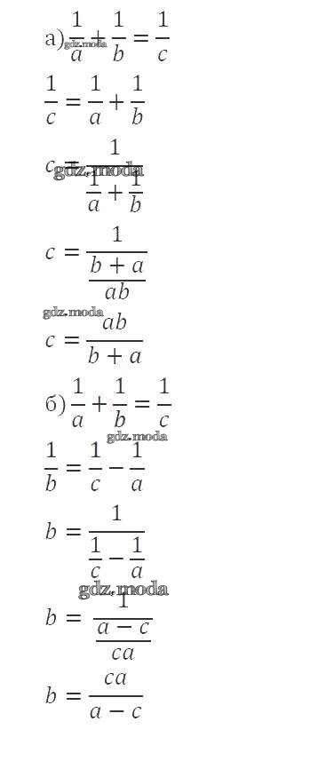
упражнение / 143

Решебник №1
упражнение / 143

Решебник №2
упражнение / 143

Решебник №3
упражнение / 143


Решебник №4
упражнение / 143


Решебник №5
упражнение / 143

Решебник №6
упражнение / 143

Решебник №7
упражнение / 143
