ОТВЕТ на задание № 153 Учебник по Алгебре 8 класс Макарычев
Учебник
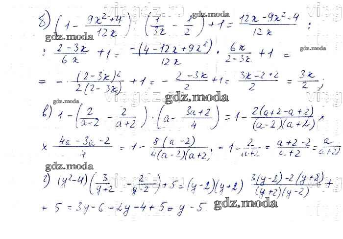
упражнение / 153

Решебник №1
упражнение / 153

Решебник №2
упражнение / 153

Решебник №3
упражнение / 153


Решебник №4
упражнение / 153


Решебник №5
упражнение / 153

Решебник №6
упражнение / 153

Решебник №7
упражнение / 153
