ОТВЕТ на задание № 154 Учебник по Алгебре 8 класс Макарычев
Учебник
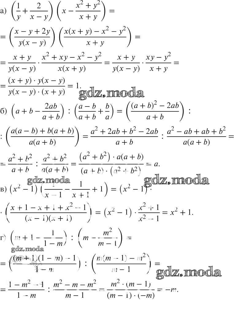
упражнение / 154

Решебник №1
упражнение / 154

Решебник №2
упражнение / 154

Решебник №3
упражнение / 154

Решебник №4
упражнение / 154



Решебник №5
упражнение / 154

Решебник №6
упражнение / 154

Решебник №7
упражнение / 154
