ОТВЕТ на задание № 166 Учебник по Алгебре 8 класс Макарычев
Учебник
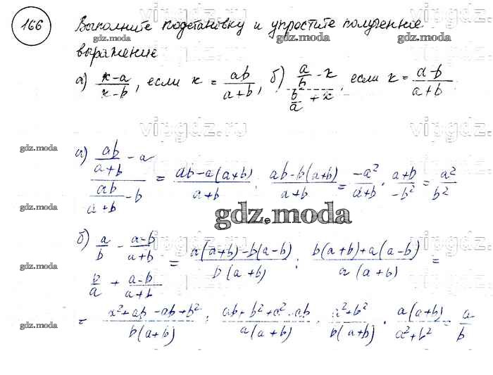
упражнение / 166

Решебник №1
упражнение / 166

Решебник №2
упражнение / 166

Решебник №3
упражнение / 166

Решебник №4
упражнение / 166

Решебник №5
упражнение / 166

Решебник №6
упражнение / 166

Решебник №7
упражнение / 166
