ОТВЕТ на задание № 167 Учебник по Алгебре 8 класс Макарычев
Учебник
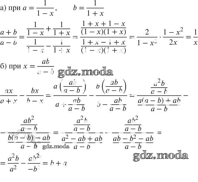
упражнение / 167

Решебник №1
упражнение / 167

Решебник №2
упражнение / 167

Решебник №3
упражнение / 167


Решебник №4
упражнение / 167

Решебник №5
упражнение / 167

Решебник №6
упражнение / 167

Решебник №7
упражнение / 167
