ОТВЕТ на задание № 194 Учебник по Алгебре 8 класс Макарычев
Учебник
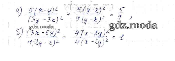
упражнение / 194

Решебник №1
упражнение / 194

Решебник №2
упражнение / 194

Решебник №3
упражнение / 194


Решебник №4
упражнение / 194

Решебник №5
упражнение / 194

Решебник №6
упражнение / 194

Решебник №7
упражнение / 194
