ОТВЕТ на задание № 195 Учебник по Алгебре 8 класс Макарычев
Учебник
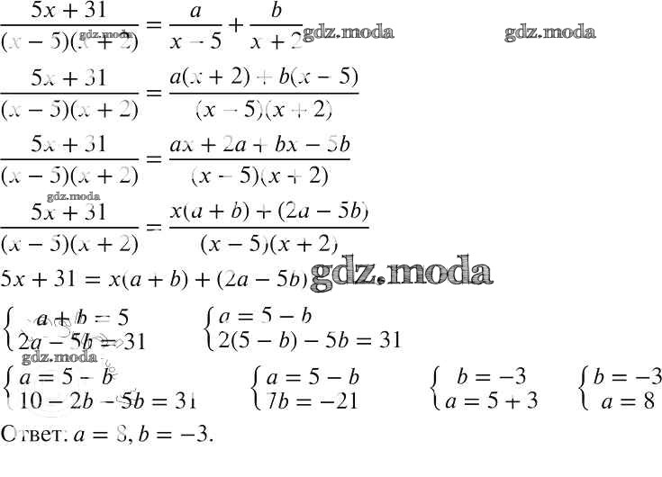
упражнение / 195

Решебник №1
упражнение / 195

Решебник №2
упражнение / 195

Решебник №3
упражнение / 195


Решебник №4
упражнение / 195


Решебник №5
упражнение / 195

Решебник №6
упражнение / 195

Решебник №7
упражнение / 195
