ОТВЕТ на задание № 196 Учебник по Алгебре 8 класс Макарычев
Учебник
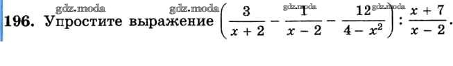
упражнение / 196

Решебник №1
упражнение / 196

Решебник №2
упражнение / 196

Решебник №3
упражнение / 196

Решебник №4
упражнение / 196


Решебник №5
упражнение / 196

Решебник №6
упражнение / 196

Решебник №7
упражнение / 196
