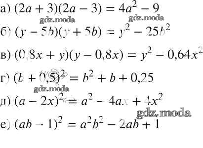
ОТВЕТ на задание № 21 Учебник по Алгебре 8 класс Макарычев
Учебник
упражнение / 21

Решебник №1
упражнение / 21

Решебник №2
упражнение / 21

Решебник №3
упражнение / 21

Решебник №4
упражнение / 21


Решебник №5
упражнение / 21

Решебник №6
упражнение / 21

Решебник №7
упражнение / 21
