ОТВЕТ на задание № 22 Учебник по Алгебре 8 класс Макарычев
Учебник
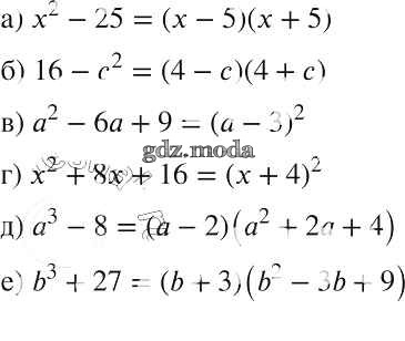
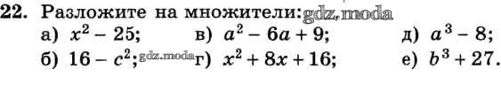
упражнение / 22

Решебник №1
упражнение / 22

Решебник №2
упражнение / 22

Решебник №3
упражнение / 22

Решебник №4
упражнение / 22


Решебник №5
упражнение / 22

Решебник №6
упражнение / 22

Решебник №7
упражнение / 22
