ОТВЕТ на задание № 223 Учебник по Алгебре 8 класс Макарычев
Учебник
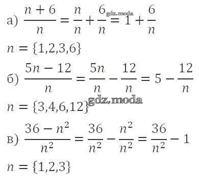
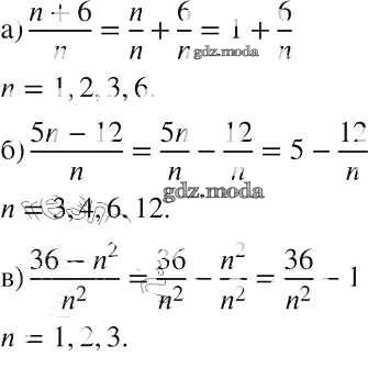
упражнение / 223

Решебник №1
упражнение / 223

Решебник №2
упражнение / 223

Решебник №3
упражнение / 223

Решебник №4
упражнение / 223

Решебник №5
упражнение / 223

Решебник №6
упражнение / 223

Решебник №7
упражнение / 223
