ОТВЕТ на задание № 224 Учебник по Алгебре 8 класс Макарычев
Учебник
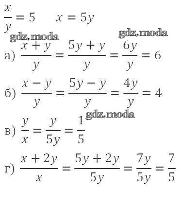
упражнение / 224

Решебник №1
упражнение / 224

Решебник №2
упражнение / 224

Решебник №3
упражнение / 224

Решебник №4
упражнение / 224

Решебник №5
упражнение / 224

Решебник №6
упражнение / 224

Решебник №7
упражнение / 224
