ОТВЕТ на задание № 226 Учебник по Алгебре 8 класс Макарычев
Учебник
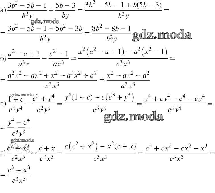
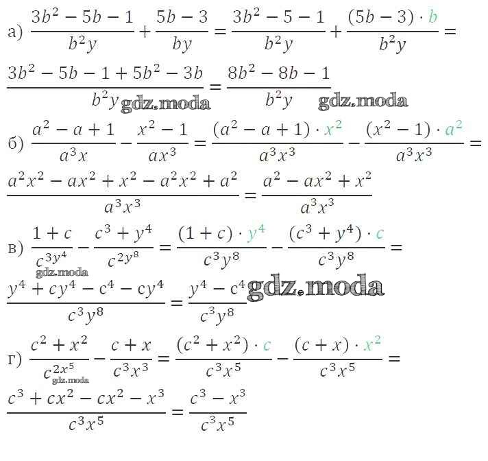
упражнение / 226

Решебник №1
упражнение / 226

Решебник №2
упражнение / 226

Решебник №3
упражнение / 226


Решебник №4
упражнение / 226

Решебник №5
упражнение / 226

Решебник №6
упражнение / 226

Решебник №7
упражнение / 226
